| |
CHARAKTERYSTYKA PRZECIWZUZYCIOWA I REAKCJE TRIBOCHEMICZNE ESTRÓW ALIFATYCZNYCHANTIWEAR CHARACTERISTICS AND TRIBOCHEMICAL REACTIONS OF ALIPHATIC ESTERS
Czesław KAJDAS*, Mohamed AL-NOZILI** *Politechnika Warszawska, Instytut Chemii w Płocku, ul. Łukasiewicza 17, 09-400 Płock. ** Politechnika Ibb, Jemen.
Słowa kluczowe: estry, dodatki AW, zużycie, stal, glin, tribochemia
Key-words: esters, AW additives, wear, steel, aluminum, tribochemistry
Publikowane w: TRIBOLOGIA, nr 3, 2002, s. 861
Streszczenie
W artykule przedstawiono wyniki badania estrów z punktu widzenia właściwości przeciwzużyciowych i reakcji tribochemicznych. Badano monoestry, diestry, hydroksykwasy, diole zawierające 16 atomów węgla w cząstecze i dikwas palmitynowy. Zasadniczym celem pracy było porównanie wybranych związków, które mogą ulec reakcji tribopolikondensacji, ze związkami o budowie chemicznej wykluczającej taką reakcję. Badania tribologiczne prowadzono na aparacie T-01M (trzpień-tarcza) produkcji Instytutu Technologii Eksploatacji Maszyn w Radomiu. Jako substancje smarowe stosowano roztwory dodatków w a-metylonaftalenie. Do oceny właściwości przeciwzużciowych diestrów i generowania niektórych produktów triboreakcji jako substancje smarowe stosowano czyste związki. Analizę utworzonych depozytów w styku tarciowym przeprowadzono za pomocą mikrospektrskopii w podczerwieni z transformacją Furiera (FTIRM). Uzyskane wyniki badań tribologicznych, szczegółowa analiza ,widm podczerwieni depozytów utworzonych w strefie styku tarciowego i dane literaturowe pozwoliły na sformułowanie nowego mechanizmu działania monoestru kwasu dikarboksylowego C36 i glikolu etylenowego. W warunach dynamicznych, pod wpływem wysokiej temperatury i elektronów emitowanych ze świeżo odkrytych powierzchni, monoester reaguje z powierzchnią zarówno poprzez grupę karboksylową, jak też i hydroksylową tworząc połączenia o charakterze soli. Jednocześnie potwierdzono istotność niehydrolitycznego mechanizmu działania estrów jako dodatków przeciwzużyciowych.
WPROWADZENIE
Dynamiczny rozwój techniki stwarza konieczność stałego podwyższania jakości środków smarowych jako istotnego elementu systemu tribologicznego. Obecnie główne kierunki doskonalenia jakości olejów smarowych wiążą się również z ochroną środowiska. Prowadzone są ciągłe poszukiwania nowych, bardziej efektywnych produktów, pozbawionych mankamentów ujawnianych przez zaostrzające się wymogi ekologii i techniki. Zatem zastosowanie specjalnych dodatków tribologicznych typu CHO, w szczególności związków redukujących proces zużywania współpracujących tarciowe elementów, staje się nakazem ekologicznym. Dodatki CHO obejmują związki organiczne zbudowane tylko z węgla, wodoru i tlenu. Konwencjonalne środki smarowe nie są w stanie sprostać współczesnym wymaganiom - ze względu na ograniczone możliwości poprawy właściwości olejów naftowych, na bazie których są wytwarzane. Koniecznością stało się zatem rozwijanie produkcji syntetycznych środków smarowych, odznaczających się lepszymi - w porównaniu z olejami mineralnymi - właściwościami eksploatacyjnymi [L. l]. Ogólnie można stwierdzić, że znaczenie syntetycznych środków smarowych będzie się zwiększało w takim stopniu, w jakim będą one w stanie sprostać wyższym wymaganiom pracy węzłów tarcia i ochrony środowiska naturalnego.
Nową grupą dodatków przeciwzużyciowych i przeciwtarciowych dla olejów smarowych są związki o potencjalnej zdolności polimerotwórczej bezpośrednio w węźle tarcia. Są to dodatki tribopolimeryzacyjne, które należą do dodatków typu CHO. Dodatki te są przedmiotem licznych badań. Cieszą się one dużym zainteresowaniem, gdyż są one przyjazne dla środowiska, a jedynymi produktami spalania są dwutlenek węgla i woda. Ponadto w warunkach środowiska naturalnego ulegają one łatwo biodegradacji. Niniejsza praca dotyczy tego typu dodatków. Monoestry kwasu dikarboksylowego C36 i glikoli (w szczególności monoester kwasu dikarboksylowego C36 i glikolu etylenowego) oraz wyższe hydroksykwasy karboksylowe są opisywane w literaturze jako efektywne dodatki przeciwzużyciowe do olejów smarowych. Mimo licznych badań, mechanizm działania wspomnianego monoestru kwasu C36 i glikolu etylenowego nie jest do końca wyjaśniony. Wysoka efektywność tego związku jest przypisywana reakcji tńbopolikondensacji [L. 2-3]. Brak jest jednak jednoznacznych dowodów eksperymentalnych na przebieg procesu tribopolikondensacji w warunkach tarcia granicznego. Wcześniejsze badania wpływu estrów kwasów dikarboksylowych na zużycie [L. 4] wykazały jednoznacznie, że efektywności przeciwzużyciowej tych estrów nie można uzasadnić istnieniem tylko jednego mechanizmu działania, wspólnego dla wszystkich badanych związków. Stwierdzono, iż udział różnych mechanizmów działania estrów jako dodatków przeciwzużyciowych zmienia się zarówno od obciążenia, jak i stężenia w modelowym oleju bazowym. W badanych warunkach najefektywniejsze były estry, których działanie można przypisać zarówno reakcji z powierzchnią, jak i wiązać to działanie z ewentualnym występowaniem mechanizmu tribopolimeryzacji. Uzyskane wyniki badań wskazały także na możliwość tworzenia układów chelatowych. W kolejnej publikacji [L. 5], która była punktem wyjścia do badań o charakterze tribochemicznym, prezentowanych w niniejszym opracowaniu, podano dalsze wyniki potwierdzające dużą złożoność tego procesu.
Celem tej pracy jest (i) porównanie charakterystyk przeciwzużyciowych związków, które mogą ulec reakcji tribopolikondensacji ze związkami o budowie chemicznej wykluczającej ten proces, zgodnie z danymi pracy [L. 5] oraz (ii) szczegółowe zbadanie reakcji estrów, głównie diestrów z powierzchnią tarcia. Celem dodatkowym badań jest wskazanie wpływu długości łańcucha dikwasu i alkoholi samych diestrów na właściwości przeciwzużyciowe układu stal-stal.
CZĘŚĆ DOŚWIADCZALNA
Do badań wybrano szereg substancji o różnej budowie chemicznej, w tym związki chemiczne, których dokładna charakterystyka była opisana wcześniej [L. 5]. Związki (i) kwas a-hydroksypalmitynowy (2-Hdk), (ii) kwas 16-hydroksypalmitynowy (16-Hdk) i produkt (vi) monoester kwasu dikarboksylowego C36 z glikolem etylenowym mogą ulegać reakcji tribopolikondensacji, natomiast związki (iii) dikwas palmitynowy (Dikwas), (iv) l,2-heksadekanodiol(12-Dio) i (v) l, 16-heksadekanodiol (1,16-Diol) nie są zdolne do takiej reakcji. Ponieważ związki (i) do (v) nie są rozpuszczalne w węglowodorach parafinowych, jako modelowy olej bazowy stosowano a-metylonaftalen. Badania tribologiczne prowadzono dla roztworów każdego z dodatków w stężeniach: 0,01%, 0,075%, 0,1%, 0,5% oraz 1%. Badano również następujące estry: maleinian dietylu, bursztynian dietylu, adypinian dietylu, sebacynian dietylu, maleinian dibutylu i sebacynian dibutylu. Związki (i) do (v) oraz diestry zostały zakupione (Fluka, Aidrich), natomiast monoester (vi) został zsyntezowany w sposób opisany w pracy [L. 4].
W celu oceny właściwości przeciwzużyciowych badanych związków przeprowadzono testy tribologiczne w układzie stal-stal i aluminium-aluminium. Badania prowadzono na tribometrze T-01M w układach stal-stal i aluminium-aluminium. W układzie stal-stal parametrem określającym efektywność badanego związku była średnica śladu zużycia kulki. Natomiast w układzie: aluminium-aluminium parametrem określającym efektywność badanego związku był ubytek masy trzpienia. Testy w układzie stal-stal prowadzono w warunkach podanych w publikacji [L. 5]. Pojedyncze testy wykonywano również na standardowym aparacie HFRR produkcji PCS Instruments, Londyn, zgodnie z HFR2 User Manual, PSC Limited, GB, 1996. Eksperymenty na testerze T-01M w układzie dysk (A1)-trzpień (Al), wykonanym z aluminium PA6, prowadzono w następujących warunkach: obciążenie 9,81 N, prędkość liniowa 0,25 m/s i droga tarcia 500 m. Eksperymenty prowadzono w temperaturze otoczenia. Po zakończeniu eksperymentu powierzchnie dysków poddano analizie FTIRM w celu określenia charakteru reakcji tribochemicznych przebiegających podczas tarcia. Oznaczenie grup funkcyjnych występujących w śladzie zużycia miało być pomocne w ustaleniu mechanizmów reakcji. Widma w podczerwieni uzyskiwano techniką refleksyjną przy użyciu mikrospektrofotometru i-Series firmy Perkin-Elmer, wyposażonego w wysoko czuły detektor MCT. Badania prowadzono w Instytucie Technologii Eksploatacji Maszyn w Radomiu. Pomiary realizowano z rozdzielnością spektralną 4 cm-1, wykonując 64 skany w punkcie, w zakresie liczb falowych 4000-580 cm-1.
WYNIKI BADANIA PROCESU ZUŻYCIA
Szczegółowy opis wyników badań przeciwzużyciowych związków (i) do (v), rozpuszczonych w oc-metylonaftalenie w zakresie stężeń 0,01% (100 ppm) do 1% (m/m), jest zawarty w pracy [L. 5]. W Tab. 1 porównano jedynie wartości redukcji zużycia przy obciążeniu 9,81 N, prędkości liniowej 0,25 m/s i drodze tarcia 500 m. Wielkości redukcji zużycia stanowią wartości średnie z 3 pomiarów. W nawiasach podano odchylenie standardowe.
Tabela 1 Redukcja zużycia kulki w zależności od stężenia wprowadzonego związku - przy obciążeniu 9,81 N - i odchylenie standardowe (w nawiasie) | |
Stężenie [%] | Redukcja zużycia | |
Dikwas | 16-Hdk | 2-Hdk | ME36Et | 1,2-Diol | 1,16-Diol | |
0,01 | 70 (3,7) | 52 (6) | 76 (4) | 54 (6) | 26 (1) | 19 (8) | |
0,05 | 65 (5) | 52 (5) | 46 (9) | 70 (8) | | | |
0,1 | 73 (9) | 85 (1) | 43 (4) | 84 (6) | 70 (3) | 56 (8) | |
0,5 | 64 (9) | 70 (3) | 40 (4) | 88 (6) | | | |
1 | 73 (7) | 85 (1) | 20 (7) | 90 (1) | 91 (6) | 93 (3)
|
Tabela 2 przedstawia wyniki badań diestrów jako dodatków przeciwzużyciowych. Wszystkie diestry były badane bez rozpuszczalnika. Zaobserwowano wzrost efektywności działania badanych diestrów wraz ze wzrostem długości łańcucha alkilowego zarówno dikwasu, jak i alkoholu tworzącego cząsteczki diestru. Ilustrują to Rys. l i 2. Interesujący jest fakt, że maleinian dietylu, zawierający wiązanie podwójne, wykazuje taką samą charakterystykę jak jego analog bez wiązania podwójnego bursztynian dietylu. Dowodzi to, że w warunkach prowadzonego eksperymentu reakcja tripolimeryzacji addycyjnej nie odgrywa istotnej roli.
Dane (Rys. 1 i 2) jednoznacznie wskazują, że efektywność przeciwzużyciowa adypinianu dietylu, zawierającego cztery grupy CH2 w łańcuchu alkilowym dikwasu, jest wyraźnie lepsza niż maleinianu dietylu. Wpływ długości łańcucha węglowego alkoholu jest również istotny. Jak wynika z Rys. 2, zależność ta kształtuje się podobnie jak dla części kwasowej estru. Dalszy wzrost liczby grup CHz nie powoduje tak istotnego zmniejszenia zużycia. Wynika to jednoznacznie z niewielkiego dalszegozmniejszenia zużycia uzyskanego dla sebacynianu dietylu, który w łańcuchu części kwasowej zawiera 8 grup metylenowych.
 | |
Rys. l. Wpływ długości łańcucha alkilowego dikwasu na efektywność działania diestrów
Fig. l. Influence of diacids' alkyl chain length on the antiwear efficiency of diesters
|
Tabela 2 Zużycie kuli badanych diestrów bez rozpuszczalnika | |
Nazwa | Średnia średnica skazy zużycia kuli •10-1 [mm] | Odchylenie standardowe | |
Maleinian dietylu | 4,702 | 0,054 | |
Bursztynian dietylu | 4,845 | 0,085 | |
Adypinian dietylu | 3,365 | 0,029 | |
Sebacynian dietylu | 3,080 | 0,037 | |
Maleinian dietylu | 3,327 | 0,064 | |
Sebacynian dietylu | 2,725 | 0,049
|
 | |
Rys. 2. Wpływ długości łańcucha alkilowego alkoholu na efektywność działania diestrów
Fig. 2. Influence of alcohols' alkyl chain length on the antiwear efficiency of diesters
|
Na Rys. 3 przedstawiono zależność redukcji zużycia od stężenia kwasu a-hydroksypalmitynowego (2-Hdk) oraz monoestru kwasu dikarboksylowego C36 z 1,2-etanodiolu (ME36Et) w a-metylonaftalenie. Zarówno ME36Et, jak i 2-Hdk opisywane są w literaturze jako dodatki działające według mechanizmu tribopolikondensacji [L. 2-3, 6-7], natomiast Rys. 3 wskazuje wyraźnie odmienną zależność efektywności działania tych związków w funkcji stężenia. Otrzymane dane eksperymentalne wykazują zatem różne mechanizmy działania tych dwóch dodatków CHO, potencjalnie zdolnych do reakcji tribopolikondensacji. Związek 2-Hdk zawiera tylko grupę karboksylową i grupę hydroksylową w odróżnieniu od ME36Et, którego cechą szczególną, oprócz znacznie większej masy cząsteczkowej, jest występowanie grupy estrowej. 2-Hdk przy stężeniu 0,01% w modelowym oleju bazowym wykazuje większą efektywność od ME36Et; ze wzrostem stężenia efektywność 2-Hdk maleje. Przy stężeniu 1% redukcja zużycia dla 2-Hdk wynosi zaledwie 20% i stanowi 1/4-tą redukcji zużycia uzyskanego przy zastosowaniu jako dolatku ME36Et. Najefektywniejsze działanie przeciwzużyciowe (redukcja zużycia 90%) zaobserwowano dla ME36Et przy stężeniach 0,1-1%. Zróżnicowanie to można zinterpretować odmienną reaktywnością tych dodatków z powierzchnia tarcia. Wyższa efektywność 2-Hdk przy stężeniu 0,01% wynika z faktu, że związek ten jest bardzo reaktywny. Duża reaktywność 2-Hdk spowodowana jest położeniem grupy hydroksylowej w bezpośrednim sąsiedztwie reaktywnej grupy karboksylowej. Zatem przy wyższych stężeniach związek ten może powodować zużycie korozyjne. Tak więc wyniki badań przedstawione na Rys. 3 są potwierdzeniem hipotezy, że polikondensacja intermolekulama nie może być rozpatrywana jako istotny czynnik decydujący o skuteczności działania przeciwzużyciowego monoestrów i hydroksykwasów [L. 4-5]. Wyniki badań przeprowadzonych dla kwasu 16-hydroksypalmitynowego (16-Hdk) wskazują, że efektywność redukcji zużycia dodatku wzrasta wraz ze wzrostem zawartości dodatku do 0,1% w oleju bazowym (Tab. l). Dalszy wzrost stężenia nie wpływa już na wzrost zużycia.
 | |
Rys. 3. Redukcja zużycia kuli spowodowana działaniem ME36Et i 2-Hdk w a-metylonaftalenie
Fig. 3. Bali wear reduction as the concentration function of ME36Et i 2-Hdk in a-methylnaphthalene
|
Działanie dikwasu wykazuje pewne podobieństwo zarówno do kwasu 16-hydroksypalmitynowego, jak też i 2-Hdk. Podobne działanie tych dwóch związków można wyjaśnić tym, że są one zaadsorbowane poprzez dwie grupy funkcyjne umieszczone na krańcach łańcucha. Dzięki temu może powstać stabilny film ochronny pomiędzy powierzchnią i olejem. Dikwas nie posiada grup zdolnych do reakcji polikondensacji, więc warstwa graniczna nie może powstać w wyniku tego mechanizmu. Analiza powyższych wyników prowadzi do wniosku, że w przypadku kwasu 16-hydroksypalmitynowego zachodzi reakcja chemiczna z powierzchnią poprzez grupę hydroksylową (tworzenie alkoholanów), jak i grupę karboksylową - z utworzeniem metalicznych soli (mydeł). Na podkreślenie zasługuje fakt, że l ,2-heksadekanodiol (1,2-Diol) i 1,16-heksadekanodiol (1,16-Diol) wykazują zbliżoną efektywność działania (Tab. l). Zależność między stężeniem i redukcją zużycia dla tych dodatków jest prawie liniowa; redukcja zużycia wzrasta wraz ze wzrostem stężenia. Przy stężeniu 1% l,2-Diolu,jak też i 1,16-Diolu, stopień redukcji zużycia jest zbliżony, odpowiednio 91 i 83%. W odniesieniu do ME36Et i kwasu 16-hydroksypalmitynowego, redukcja zużycia wynosi odpowiednio 90 i 85%.
Należy podkreślić, że zarówno diole, jak i dikwas nie posiadają grup umożliwiających przebieg reakcji polikondensacji, zatem uzyskana w badaniach tak duża redukcja zużycia może wynikać tylko z tworzenia reakcyjnej warstwy przeciwzużyciowej. W tym miejscu trzeba jednakże podkreślić, że efektywność działania dodatku zależy również od rodzaju rozpuszczalnika (modelowego oleju bazowego). Przykładowo efektywność działania monoestru kwasu dikarboksylowego C36 z glikolem etylenowym w rozpuszczalniku aromatycznym (a-metylonaftalen) wzrasta wraz ze wzrostem stężenia (Rys. 3), natomiast w n-heksadekanie maksymalną redukcję zużycia układu stal-stal uzyskuje się przy O, l-procentowym stężeniu tego dodatku [L. 4].
WYNIKI BADAŃ TRIBOCHEMICZNYCH
Jednym z podstawowych zadań pracy jest poznanie przebiegu procesu reakcji tribochemicznych badanych estrów. Jak już wspomniano widma uzyskane dla badanych roztworów diestrów nie zawsze były czytelne i zwykle trudne do interpretacji. Podjęto zatem również próby generacji produktów zużycia z diestrów o niższej masie cząsteczkowej, stosowanych jako substancja smarowa bez rozpuszczalnika. Ze względu na większą reaktywność aluminium, zwykle łatwiej jest uzyskać pełniejszy zakres informacji o procesie reakcji tribochemicznych z depozytów utworzonych na tym metalu aniżeli na stali. Poniżej omówiono widma FTIRM wybranych estrów. Widma były zdejmowane z dysków stalowych i aluminiowych.
Bursz.tynian dietylu. Rys. 4 przedstawia przykładowo widmo depozytu skumulowanego w śladzie zużycia na dysku aluminiowym po procesie tarcia prowadzonym z udziałem bursztynianu dietylu. Ze względu na ograniczoną objętość artykułu, dalsze widma nie będą ilustrowane. W widmie bursztynianu dietylu (Rys. 4) występują następujące charakterystyczne pasma absorpcyjne: drgania rozciągające asymetryczne grup metylenowych (2919 cm-1), drgania C=O grupy estrowej (1716 cm-1), drgania układu chelatowego [L. 8] oraz drgania deformacyjne grupy metylenowej połączonej z tlenem w układzie -O-CH2-O- (1422 cm-1). Pasmo absorpcji 1716 cm-1 przypisujemy rozciągającym drganiom wiązania C=0 grupy estrowej. Przesunięcie w kierunku niższych liczb falowych jest spowodowane przez układ -C-O-M, któremu w tym widmie przypisujemy pasmo absorpcyjne 1529 cm-1 . Według danych literatury [L. 8] liczba falowa tego pasma wynosi 1525cm-1.
 | |
Rys. 4. Widmo FTIRM depozytu skumulowanego w śladzie zużycia na dysku aluminiowym po procesie tarcia smarowanego czystym bursztynianem dietylu
Fig. 4. FTIRM spectrum of the deposit accumulated on aluminum disk during friction łubricated with pure diethyl succinate
|
Na podstawie uzyskanych wyników badań zaproponowano następujący mechanizm działania diestrów:
gdzie: e jest niskoenergetycznym elektronem emitowanym z powierzchni tarcia.
|
n CH3CH2O—C—CH2—CH2—C—OCH2CH3 + 2 n e →
n ¯O—C—CH2—CH2—C—O¯ + 2n •CH2CH3
|
n ¯O—C—CH2—CH2—C—O¯ + 2 M n+ → |
 | |
|
|
Model ten jest zgodny z wcześniej zaproponowaną hipotezą niehydrolitycznego działania estrów alifatycznych [L. 9]. Może on również wyjaśnić zachowanie się grup estrowych monoestrów. Zgodnie z tym oraz na podstawie wyników badań otrzymanych dla czystych alkoholi można wnioskować, że mechanizm działania zarówno monoestrów, jak i hydroksykwasów to typowa reakcja chemiczna, w której każda z obecnych grup funkcyjnych odgrywa określoną rolę w redukcji zużycia powierzchni tarcia. Należy podkreślić, że widma zdjęte z różnych miejsc na dysku i z dysków użytych do prób tarciowych dla innych badanych diestrów były niemal identyczne.
Kwas a-hydroksypalmitynowy. Widmo FTIRM depozytu skumulowanego w śladzie zużycia na dysku stalowym po procesie tarcia przeprowadzonym w aparacie HFRR dla 1% roztworu kwasu a-hydroksypalmitynowego w a-metylonaftalenie. Widmo to charakteryzuje się następującymi pasmami absorpcji: 2917 i 2850 cm-1 odpowiadającym drganiom rozciągającym grupy metylenowej, 1596 cm-1 związane z powstaniem soli kwasu karboksylowego i 1538 cm-1 związane z układem C-O-Me. Na podstawie tych pasm absorpcji można zakładać, że kwas 16-hydroksypalmitynowy reaguje z powierzchnią poprzez grupę karboksylową tworząc sól metaliczną. Jednocześnie reaguje częściowo poprzez grupą hydroksylową tworząc alkoholany. Świadczy o tym pik 1538 cm-1. Szerokie pasmo około 3400 cm-1 wskazuje, że nie wszystkie grupy hydroksylowe są związane z powierzchnią tarcia. Brak pasma absorpcji w zakresie 1720 cm-1 świadczy o tym, że grupy karboksylowe całkowicie uległy reakcji. Brak pasma około 1740 cm-1 potwierdza brak grup estrowych, co z kolei wyklucza mechanizm tribopolikondensacji Uzyskane dane reakcji tribochemicznych wydają się być częściowe zgodne z modelem zaproponowanym w pracy [L. 13], zilustrowanym na Rys. 5.
 | |
Rys. 5. Model działania kwasu 16-hydroksypalmity nowego [L. 13]
Fig. 5. Model ofthe 16-hydroxypalmitic acid action mechanism [L. 13]
|
Monoester (MEC36Et). Na widmach zdjętych ze śladu zużycia aluminiowego dysku po teście z zastosowaniem roztworu 500 ppm monoestru kwasu dikarboksylowego C36 i glikolu etylenowego w a--heksadekanie zaobserwowano następujące pasma absorpcji: szerokie pasmo około 3400 cm-1 - przypisywane zazwyczaj grupom -OH, pasmo 1730 cm-1 odpowiadające rozciągającym drganiom C=O grupy estrowej, 1650 cm-1 związane z wiązaniem podwójnym, 1600 cm-1 odpowiadające powstałej soli metalicznej, z którą związane jest również pasmo około 1430 cm-1, pasma 1540 cm-1 i 1509 cm-1, które przypisujemy wiązaniom chelatowym oraz 1371 cm-1 związane z grupami -CH3.
Na widmie zdjętym ze śladu zużycia, w innym miejscu tego samego dysku, występowały następujące pasma absorpcyjne: 1744 cm-1 odpowiadające wiązaniom C=O grupy estrowej, 1637 cm-1 związane z wiązaniem podwójnym i 1539 cm-1 charakterystyczne dla wspomnianych wcześniej układów chelatowych.
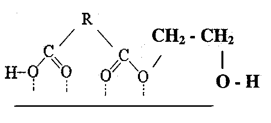
Na podstawie danych wynikających z uzyskanych widm podczerwieni można zaproponować model reakcji tribochemicznych monoestru przebiegających w trzech zasadniczych etapach zilustrowanych na Rys. 6-8.
 | |
Rys. 6. Pierwszy etap mechanizmu działania monoestru (adsorpcja)
Fig. 6. First step of the monoester action mechanism (adsorption)
|
W warunkach tarcia obszar z tak zaadsorbowanymi grupami trzech rodzajów (karboksylowa, estrowa i hydroksylowa) tworzy smarowy film graniczny, który jest bardziej efektywny w redukcji zużycia niż film utworzony ze związków zawierających tylko jeden rodzaj grup funkcyjnych -OH (alkohol) lub -COOH (kwas). Pod wpływem wysokiej temperatury i niskoenergetycznych elektronów emitowanych przez świeżo odkryte powierzchnie podczas tarcia, następuje reakcja grup karboksylowych z powierzchnią z utworzeniem wiązania typu soli metalicznej (Rys. 7).
 | |
Rys. 7. Drugi etap mechanizmu działania monoestru (reakcja tribochemiczna)
Fig. 7. Second step of the monoester action mechanizm (tribochemical reaction)
|
W kolejnym etapie następuje zerwanie wiązania C-O grupy estrowej. W wyniku tego rozpadu powstają układy chelatowe z udziałem części monoestru zawierającej związany glikol etylenowy. Tego typu układ przedstawia Rys. 8.
 | |
Rys. 8. Trzeci etap mechanizmu działania monoestru (układ chelatowy powstający w wyniku rozpadu grupy estrowej)
Fig. 8. Third step o the monoester action mechanism (chelate structure formation)
|
Wcześniejsze modele efektywnego przeciwzużyciowego działania monoestru uwzględniały zarówno reakcję z powierzchnią tarcia, jak też reakcję tribopolikondensacji [L. 14]. Między innymi zakładano, że związek ten reaguje z powierzchnią poprzez grupę karboksyłową tworząc sole metaliczne. Jeśli chodzi o model zaproponowany w pracy [L. 13] (Rys. 5) to jego słabą stroną wydaje się być pionowe zawieszenie w oleju grup hydroksylowych. Grupa hydroksylowa jest silnie polarna, będzie więc raczej adsorbowała się na powierzchni lub - zgodnie z mechanizmem aniono-rodnikowym reakcji tribochemicznych [L. 15] - powinna reagować z powierzchnią tarcia.
Wyższą efektywność mieszaniny kwasu dikarboksylowego C36 i l,16-heksadekanodiolu nad samym dikwasem czy samym alkoholem, można tłumaczyć stosując teorię twardych i miękkich kwasów i zasad. Również w przypadku wyższej efektywności a-hydroksykwasów przypisano powstawanie wysoko zorientowanego filmu polimerowego zupełnie nie uwzględniając faktu, że a-hydroksykwasy są bardziej reaktywne od samego kwasu karboksylowego czy innego hydroksykwasu, w którym grupa hydroksylowa znajduje się przy innym atomie węgla. Badania prowadzone z udziałem 13(14)-hydroksykwasu C22 i 13,14-dihydroksykwasu C22 wykazały, że dihydroksykwas jest efektywniejszy w redukcji zużycia [L. 7]. Fakt ten potwierdza istotną rolę reakcji tribochemicznej poprzez grupę hydroksylową. Dwie sąsiadujące grupy hydroksylowe sprawiają, że ten związek jest bardziej reaktywny. Potwierdzają to badania przedstawione w [L. 16], w których wykazano, że 1,2,3-propanotriol był efektywniejszy od 1,3-butanodiolu, a ten z kolei od l ,4-butanodiolu.
Stwierdzono, że przy stężeniach 0,01 i 0,1% (m/m) monoester pozbawiony wolnych grup hydroksylowych (monoester kwasu oktanodiowego i oktadekanolu) miał porównywalną efektywność przeciwzużyciową do efektywności monoestru kwasu dikarboksylowego C36 z glikolem etylenowym. Fakt ten dowodzi, że tribopolikondensacja nie jest dominuhcym mechanizmem działania tych związków. Wysoką efektywność monoestrów kwasu oktanodiowego z l ,2-heksadekanodiolem i monoesteru kwasu dikarboksylowego C36 z glikolem etylenowym należy przypisać trzem grupom funkcyjnym, które związki te zawierają. Podobna efektywności dikwasu l,16-heksadekanodiowego (który nie może ulegać reakcji tribopolikondensacji) i kwasu 16-hydroksypalmitynowego (który może ulegać tej reakcji), wyklucza mechanizm tribopolikondensacji jako mechanizm działania hydroksykwasu. Analiza FTIRM śladu zużycia stalowego dysku po testach tribologicznych z zastosowaniem 1-pro-
centowego roztworu kwasu 16-hydroksypalmitynowego wskazuje jednoznacznie na brak pasma absorpcji 1740 cm-1 odpowiadającego drganiom rozciągającym wiązania C=O grupy estrowej. Fakt ten również wyklucza mechanizm tribopolkondensacji. Analiza FTIRM śladu zużycia aluminiowego dysku po testach tribologicznych z zastosowaniem czystych diestrów wskazuje jednoznacznie na zerwanie wiązania C-O grupy estrowej i powstanie związków pierścieniowych z podłożem metalu. Diestry redukują zużycie poprzez tworzenie wiązań chelatowych, co podkreśla istotną rolę grupy estrowej w sumarycznym działaniu monoestrów.
WNIOSKI
Uzyskane wyniki badań zużyciowych, szczegółowa analiza widm FTIR depozytów utworzonych w strefie styku tarciowego i dane literaturowe pozwalają na sformowanie następującego mechanizmu działania monoestru kwasu dikarboksylowego C36 i glikolu etylenowego.
- W warunkach statycznych monoester adsorbuje się na powierzchni metalu tworząc silnie zaadsorbowany film poprzez grupę karboksyIową, hydroksylową i estrową.
- W warunkach dynamicznych, pod wpływem wysokiej temperatury i elektronów emitowanych ze świeżo odkrytej powierzchni, monoester reaguje z powierzchnią zarówno poprzez grupę karboksylową, jak też hydroksylową.
- W wyniku rozpadu wiązania C-O grupy estrowej powstają charakterystyczne układy chelatowe.
- Inicjowanie i przebieg tych reakcji tribochemicznych dobrze tłumaczy mechanizm NIRAM.
LITERATURA
- Szałajko U., Jasiulek K.: Komponenty syntetycznych środków smarowych w postaci estrów różnego typu kwasów i alkoholi. Nafta-Gaz, nr 8, 1993.
- Furey M. J.: The formation of polymeric films directly on rubbing surfaces to reduce wear. Wear 26, 369-392, 1973.
- Furey M. J.: The in situ formation of polymeric films on rubbing surfaces. Proc. Int'1 Colloq. polymers and Lubrication, Brest, Center National de la Recherche Scientifique, Paris, No. 133, 1975, 393-404.
- Kajdas C., Al-Nozili M., Kędzierska E., Kardasz K.: Badanie wpływu wybranych estrów kwasów dikarboksylowych na zużycie układu tarciowego stal-stal. Tribologia, 3, 1998, 353-366.
- Kajdas C., Al-Nozili M.: Wear behaviour and tribochemistry of oxygenates in 1-methylnaphthalene under boundary lubrication of the steel-on-steel system. Tribologia, 30(3), 1999, 301-314.
- Okabe H., Minami I., Masuko M.: 2-Hydroxycarboxylic acid as novel friction-polimer type additives. JSLE Intemational Tribology Conference, Nagoya, Japan, Oct. 29-Nov. l, 1990, 1049-1054.
- Hu Z., Tao D.: Functional mechanism of formation of friction polymer with dihydroxydocosanoic acid. Lubr. Sci., 7-3, 1995, Aprii, 285-290.
- Kazicyna L.A., Kupletska N.B.: Metody Spektroskopowe Wyznaczania Struktury Związków Organicznych. PWN, Warszawa 1974.
- Kajdas C.: Some aspects of boundary lubrication mechanism and findings relating to the NIRAM application. Proc. of the Symposium „Tribochemistry", Łódź, 1993,45-68.
- Kajdas C.: A novel approach to lubrication mechanism under metalworking conditions. Eurometalworking'94, 02-1-02-8, Udine 1994.
- Kajdas C., Shuga A.: Badanie właściwości przeciwzużyciowych i reakcji tribochemicznych estrów kwasu palmitynowego i alkoholi alifatycznych w układzie tarciowym stal-stal. Tribologia, 29(3), 1998, 389^02.
- Kajdas C., Shuga A.: Antiwear properties and lubrication mechanism of alifatic esters in a model aromatic base fluid. Tribologia, 30(3), 1999, 289-300.
- Masuko M., Ohmori T., Okabe H.: Antiwear properties of hydroxycarboxylic acids with straight alkyl chains. Tribology Int'1, August, 21 no 4, 1988,199-203.
- Furey M. J., Kajdas C.: Models of tribopolymerization as antiwear mechanism. Proc. ofthe Japan Int'1 Tribology Conf., Nagoya, Vol. II, 1098-1094, Oct.29-Nov.l, 1990.
- Kajdas C.: Importance of anionic reactive intermediates for lubricant component reactions with friction surfaces. Lubr. Sci, 6, 1994, 203-228.
- Hu Y., Liu W.: Tribological properties of alcohols as lubricating additives for aluminum-on-steel contact. Wear, 218, 1998, 244-249.
Recenzent: Ryszard CZARNY
Summary
The paper presents experimental results concerning esters` antiwear properties and tribochemical reactions. Monoesters, diesters along with hydroxyacids, C16-diols and palmitic diacid were investigated. The research aimed at comparing the antiwear behavior of hydroxyacids and esters - able to form polymers - with those esters and other compounds that are not able to polymerize. Using mostly the steel ball-on-steel disk friction system (T-01M apparatus) antiwear characteristics of the tested compounds were obtained. Some pin-on-disk tests were performed to generate tribochemical reaction products using aluminium. To nalyze the formed deposits on wear tracks FTIRM analysis technique was applied. Obtained results demonstrate that the tribopolymerization process is not significant neither for hydroxyacids nor monoesters containing both carboxylic and hydroxyl groups. Tribochemical reaction mechanisms for diesters and monoester dimer C36/ethylen glycol are proposed.
|