Contents
Spis treści

    

8. Zużycie trybologiczne

Zużycie trybologiczne jest to rodzaj zużycia spowodowanego procesami tarcia. W procesach zużycia trybologicznego następuje zmiana masy oraz struktury i własności fizycznych warstw wierzchnich obszarów styku. Intensywność zużywania jest funkcją różnego rodzaju oddziaływań oraz odporności obszarów tarcia warstw wierzchnich.
Wartość zużycia jest uzależniona od rodzajów procesów zużywania. W pracy tej jest analizowane wyłącznie zużycie spowodowane tarciem. W celu analizy procesów zużywania najwygodniej realizować teoretyczne i eksperymentalne badania trybologiczne. W wielu przypadkach wykorzystuje się do tego celu odpowiednie modele.

8.1. Modele trybologiczne

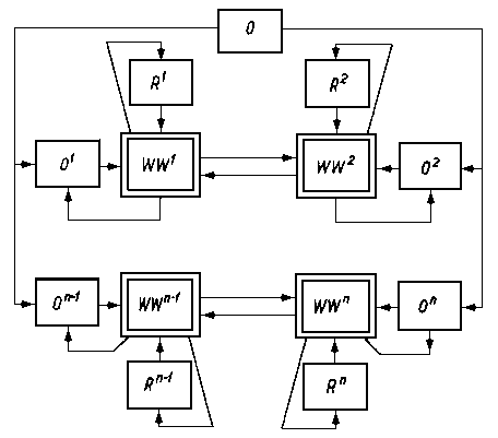
Rozpatrując element maszyny jako układ względnie odosobniony można go przedstawić w postaci modelu pokazanego na rys. 8. l. W modelu tym przyjęto, że zasadnicze oddziaływania występują na trajektorii
QWWRWWO (8.1)

Rys. 8.1. Model trybologiczny elementu maszyny

W rozpatrywanym modelu, jak i następnych, przyjęto oznaczenia: R - rdzeń, WW - warstwa wierzchnia, O - otoczenie, Wz - wymuszenie zewnętrzne.

W pewnych szczególnych przypadkach można założyć, że jest dopuszczalne bezpośrednie oddziaływanie otoczenia na rdzeń, jeśli wpływ tego oddziaływania na warstwę wierzchnią nie jest istotny. Przykładem tego jest np. przenoszenie przez element obciążeń w całej objętości, jednakże zagadnienie to nie jest istotne z punktu widzenia trybologii, dlatego też może być pominięte.
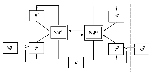
Zużycie elementów maszyn następuje głównie w wyniku nakładania się skutków różnego rodzaju oddziaływań w warstwach wierzchnich. W procesach zużycia na skutek tarcia, współpracujące elementy można uważać za elementarny system trybologiczny (rys. 8.2).
Rys. 8.2. Elementarny system trybologiczny

Rys. 8.3. Model trybologiczny bez oddziaływania bezpośredniego warstw wierzchnich obu elementów

Przedstawione modele wskazują na to, że wymuszenie oddziaływań elementów współpracujących w układzie elementarnym może się odbywać poprzez mikrootoczenie. Istotny jest fakt, że wzajemne oddziaływanie elementów współpracujących odbywa się poprzez oddziaływanie WW obu elementów. W szczególnym przypadku mogą wystąpić układy, w których O1 = O2, natomiast brak oddziaływania bezpośredniego WW obu elementów. Model takiego układu przedstawiono na rys. 8.3.
Układ trybologiczny jest znany, jeśli są znane
< WW¹, , WW², , , , I > (8.2)
gdzie I - zbiór relacji opisujących oddziaływanie pomiędzy elementami układu.

Uporządkowany zbiór układów tworzy system trybologiczny. System trybologiczny jest znany, jeśli są znane jego układy oraz zbiór relacji opisujących oddziaływania pomiędzy nimi.
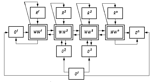
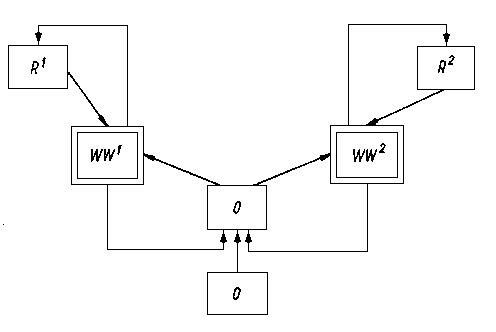
Systemy trybologiczne można podzielić na szeregowe (rys. 8.4) i równolegle (rys. 8.5). Ponadto kombinacje tych dwóch systemów tworzą systemy mieszane.
Rys. 8.4. Szeregowe systemy trybologiczne

Rys. 8.5. Równolegle systemy trybologiczne

Zużycie trybologiczne jest na ogół pośrednią przyczyną powstawania niesprawności maszyny. Dla przykładu dopuszczalne zużycie na skutek tarcia, np. łożysk ślizgowych silnika, jest określone dopuszczalną wartością luzu. W przypadku tego rodzaju zużycia zwiększa się w czasie eksploatacji maszyny prawdopodobieństwo wystąpienia jej niesprawności. Nakładanie się skutków tarcia i gwałtowne przejście maszyny w stan niezdatności występują łącznie, np. zużywanie łożyska i „wytopienie” panewki.
W eksploatacji maszyny wygodnie jest przyjąć następujący podział procesów zużywania trybologicznego: zużycie ścierne, zużycie adhezyjne, zużycie przez utlenianie, zużycie zmęczeniowe, zużycie chemiczne i elektrochemiczne (korozyjne), zużycie kawitacyjne oraz inne rodzaje zużycia.
Na ogół nie ma wyłącznego oddziaływania danego rodzaju procesu zużywania, ale najważniejszy jest ten wiodący. Elementarne procesy trybologiczne scharakteryzowano w tabl. 8.1, a charakterystyki połączeń tarciowych w tabl. 8.2.

Tablica 8.1. Elementarne procesy trybologiczne

Ubytek materiałuPrzemieszczenia materiałuNieciągłości materiałuNarostyZmiany struktury geometrycznej powierzchniZmiany składu chemicznego
mikroskrawanie, odrywanie nierówności, kruche odłupywanie, złuszczaniebruzdowanie, polerowanie, wgniotrysy powierzchniowe, pękanie wgłębnenamazanie, przeciwciała, błony tlenkowe, osadyzgniot, kierunkowe przesunięcia struktury, przemiany fazowenowe składniki, tlenki powierzchniowe

Tablica 8.2. Podstawowe charakterystyki połączeń tarciowych

Charakter odkształceniaOdkształcenie sprężysteOdkształcenie plastyczneSkrawanieNiszczenie warstw szczepionychNiszczenie materiału rdzenia
Liczban = ∞1 < n < ∞n = 1n = 1n = 1
Warunki urzeczy-wistnienia
h
r
< 0,01
h
r
< 0,1
h
r
> 0,1
d τ
d h
> 0
d τ
d h
< 0
suche-metal żelazny- < 0,0001 metal nieżelaznysuche < 0,2÷0,5 smarowane suche > 0,2÷0,5 smarowane

    

8.2. Zużycie ścierne

Zużycie ścierne powstaje wtedy, gdy ubytek materiału w warstwie wierzchniej jest spowodowany oddzielaniem cząstek wskutek mikroskrawania, rysowania lub bruzdowania. Taki proces powstaje wtedy, gdy w obszarach tarcia współpracujących elementów znajdują się luźne lub utwierdzone cząstki ścierniwa albo wystające nierówności twardszego materiału, które spełniają rolę umiejscowionych mikroostrzy. Analogicznie będą działać utlenione produkty zużycia w obszarze tarcia.
Rys. 8.6. Model dynamiczny elementarnych procesów zużywania:
a) bruzdowanie,
b) ścinanie nierówności,
c) ścinanie nierówności ścierniwem przez występ nierówności,
d) odkształcanie plastyczne materiału

Na rys. 8.6 przedstawiono model dynamiczny elementarnych procesów zużywania na skutek ścierania. Jako kryterium wyróżniające rodzaje zużywania przyjęto iloraz powierzchni przekrojów poprzecznych zagłębienia rysy f2 oraz spęczania materiału wokół rysy f1 (rys. 8.7).
Rys. 8.7. Kryterium wyróżniające rodzaje zużywania; az - głębokość bruzdy, m -m - poziom odniesienia

Jeżeli f2/f1 = l, wówczas powstaje wyłącznie odkształcenie plastyczne obszarów styku, czyli bruzdowanie. Materiał wgnieciony przez występ nierówności lub ziarno ścierniwa jest przeniesiony na zewnątrz powierzchni (spęczenie materiału z obu stron rysy).
Jeżeli f1/f2 = 0, czyli powierzchnia przekroju poprzecznego spęczonego materiału jest równa zeru (f1 = 0), wtedy występuje wyłącznie skrawanie.
Jeśli 0 ≤ f1/f2 ≤ l, to następuje wówczas mikroskrawanie, odkształcenie plastyczne i rysowanie (!!! brak logiki - niespójne akapity 1 i 2 z tym akapitem ???).
Rys. 8.8. Model mikroskrawania przez występ nierówności

Rys. 8.9. Obciążenie obszaru płaskiego przez występ nierówności

Model Kragielskiego występu nierówności (rys. 8.8), powodujący mikroskrawanie, ma kształt stożka ściętego, zakończonego powierzchnią sferyczną o promieniu R, zagłębionego w badany metal na głębokość h.
Ze wzrostem modułu h/R podczas przesuwania występu nierówności wzrasta odkształcenie sprężyste. Jeżeli (h/R) ≥ 240 (Re/E)², to powstaje odkształcenie plastyczne materiału WW, czyli bruzdowanie, a następnie rysowanie i mikroskrawanie. Rozkład sił działających na obszar odkształconego metalu przez występ nierówności o podanym kształcie przedstawiono na rys. 8.9.
Obszar materiału jest obciążony siłą, którą można rozłożyć na dwie składowe. Jedna siła Q działa w kierunku równoległym do kierunku ruchu występu nierówności, a druga P - prostopadła do tego kierunku - wywołuje reakcję normalną N i siłę styczną T = µ N (µ - współczynnik tarcia).
Jeśli siła styczna T = µ N > Q sin α - P cos α to wówczas musi następować odkształcenie plastyczne materiału i jego zużywanie ścierne.
Zakładając h = R (1 - cos α), można obliczyć zagłębienie nierówności powodującej rysowanie stref podpowierzchniowych warstwy wierzchniej elementu z równania
h = R [ 1 - µ Q + P
( + ) (1 + µ²)
] µm (8.3)

Składowe P i Q siły obciążającej element skrawający mogą być wyrażone przez iloczyny odpowiednich współczynników zależnych od kształtu obszarów styku (penetratora) i utwardzenie materiału C1, C2 oraz naprężeń plastycznych σpl
P = C1 σpl; Q = C2 σpl (8.4)

Zagłębienie elementu skrawającego musi być większe od pewnej wartości h, a mianowicie
hR [ 1 - µ C2 + C1
(C1² + C2²) (1 + µ²)
] (8.5)

Jeśli µ = l, to h/R → 0 i wówczas następuje tylko sczepianie, czyli zużycie adhezyjne.
Podczas rysowania w obszarach zużywania ściernego materiał jest zgniatany i spęczany oraz częściowo skrawany w postaci wiórów, jako produktów zużywania.
Odporność na zużycie ścierne jest zależna od: składu chemicznego i frakcyjnego luźnych lub umocowanych cząstek ścierniwa i ich twardości względnej (w stosunku do twardości materiału zużywanego), nacisków jednostkowych, częstości wymiany tych produktów w obszarach tarcia (wydmuchiwanie, przemywanie), prędkości poślizgu i wielu innych czynników.
Charakter działania ziarn ściernych na ścierany materiał zależy od ich ruchu względem powierzchni materiału oraz od charakteru i wartości obciążeń przenoszonych przez ziarna. Ścieranie może się odbywać przez ziarna umocowane we współpracujących powierzchniach, przez luźne pojedyncze ziarna ścierne, przez warstwę ścierną występującą między współpracującymi powierzchniami, przez strumień ścierny, ścieranie w środowisku ściernym.
W przypadku współpracujących elementów maszyn wskutek oddziaływania powierzchni współpracującej może występować ruch postępowy ziarn w kierunku równoległym do ścieranej powierzchni, oraz ruchy obrotowe względem osi własnych (przetaczanie).
W przypadku mielenia, a zwłaszcza kruszenia twardych materiałów, ścieranie charakteryzuje się większą dynamicznością działania sił między ścierną powierzchnią a ziarnami, większą nierównomiernością ruchu tych ziarn, oraz większym udziałem składowych normalnych do powierzchni, powodujących dynamiczne zgniatanie. Ścieranie w strumieniu ściernym polega na oddziaływaniu strumienia płynu, w którym są zawieszone cząstki ścierniwa (np. ścieranie przez piaskowanie, ścieranie przez cząstki ścierniwa zawieszone w wodzie lub innych płynach).
Ścieranie metali w środowisku ściernym (np. gąsienic pojazdów) charakteryzuje się znaczną energią kinetyczną ziarn ściernych. Styk ziarna ze ścieraną powierzchnią następuje pod działaniem sił wykonujących pracę ścierania i zgniatania materiału. W wielu przypadkach masę ścierną stanowi gleba, w której osnowie znajdują się ziarna mineralne (głównie kwarcowe) stanowiące ścierniwo.
Mechanizm zużywania ściernego ogranicza się w zasadzie do ślizgania i wbijania twardych cząstek ścierniwa w rzeczywistą powierzchnię styku, wskutek czego następuje odkształcanie i skrawanie mikroobjętości metalu warstw wierzchnich. Zużywanie to można porównać ze szlifowaniem. Jednak proces zużywania ściernego jest nieco bardziej skomplikowany, gdyż udział w nim biorą nie tylko ziarna utwardzone, lecz i ziarna swobodne, które oprócz działania skrawającego są przetaczane i wbijane w jedną z warstw wierzchnich. Powierzchnia metalu po ścieraniu ma wygląd podobny do powierzchni po szlifowaniu. Uzyskano eksperymentalne zależności między względną odpornością na zużycie ścierne a twardością metali czystych i stali różnych gatunków (tyś. 8.10). Jak wynika z wykresów występuje liniowa zależność między wzrostem względnej odporności na zużycie ścierne a twardością metali (w przypadku, gdy ścierniwo znacznie przekracza twardość ścieranych metali).
Rys. 8.10. Zależność między względną odpornością na zużycie ścierne Jwz a twardością Vickersa HV metali

Oczywiście, że względna odporność na zużycie ścierne stali o różnych strukturach (stale hartowane, odpuszczane, węglowe i stopowe) jest różna, jednak w każdym z poszczególnych przypadków ta odporność jest proporcjonalna do twardości tych metali. Iloczyn względnej odporności na zużycie ścierne metalu i jego twardości jest dla danej rodziny metali wartością stałą, czyli
Jwz H= const (8.6)

gdzie: Jwz - względna odporność na zużycie ścierne, H - twardość (Vickersa).

Na podstawie wielu badań stwierdzono m. in., że stosunek siły tarcia T do masy zużytego metalu m w jednostce czasu jest wartością stałą dla danego materiału i nie zależy od własności ścierniwa
T
m
= k = const (8.7)

gdzie k - współczynnik proporcjonalności.

Podobnie stwierdzono, że masa zużytego metalu m w jednostce czasu jest proporcjonalna do obciążenia normalnego
m = c N (8.8)

gdzie: c - współczynnik proporcjonalności, N - obciążenie normalne trących metali.

Prędkość względna v występująca przy tarciu suchym ma mały wpływ na intensywność zużywania ściernego. Po przekroczeniu pewnej wartości prędkości noża następuje zmiana charakteru zużycia.
Odporność na zużycie ścierne jest zależna od:
- głębokości i intensywności odkształcenia mikroobjętości metalu warstw wierzchnich;
- głębokości penetracji ziarn ścierniwa w metal warstwy wierzchniej;
- zależności między objętościami odkształconymi i objętościami niszczonymi warstw wierzchnich.

Penetracje cząstek ścierniwa w warstwę wierzchnią trącego metalu powodują często znaczne anomalie w intensywności i mechanizmie zużywania ściernego. Przy znacznych różnicach twardości współpracujących części po pewnym czasie pracy intensywnemu zużyciu podlegać może przede wszystkim metal twardszy. Jest to wynikiem penetracji znacznej liczby ziarn ścierniwa w metal bardziej miękki. Z tego względu na trących powierzchniach tworzy się specyficznego rodzaju „szczoteczka” ścierna, utworzona z twardych ziarn ścierniwa i wiążących je warstw metalu miękkiego. Jako skutek takiego zjawiska metal staje się swoistego rodzaju tarczą szlifierską, która powoduje intensywne skrawanie metalu twardego.
Rys. 8.11. Zależność pomiędzy względną odpornością na zużycie ścierne Jwz a naciskiem jednostkowym Kn dla oleju czystego i ze ścierniwem przy prędkości względnej v = 0,5 m/s

Proces zużywania ściernego jest typowy dla tarcia suchego. Dzięki badaniom stwierdzono jednak, że zużycie ścierne może być dominujące także w przypadku zastosowania smarowania, jeżeli nie nastąpiło wyraźne unoszenie spowodowane wytworzeniem klina smarowego i jeżeli w smarze są zawarte cząstki ścierniwa (rys. 8.11). Badania zależności zużycia stali niskostopowych od ich struktury przy tarciu o płótno korundowe dały następujące wyniki:
a) odporność na ścieranie perlitu, sorbitu i troostytu jest zależna od stopnia dyspersji fazy cementytu; drobniejszej strukturze przy danym składzie chemicznym odpowiada większa odporność na ścieranie;
b) odporność na ścieranie martenzytu jest tym większa, im więcej zawiera on węgla;
c) struktura martenzytyczna z wydzielonymi węglikami jest mniej odporna na ścieranie niż czysta struktura martenzytyczna;
d) przy tych samych twardościach uzyskanych w wyniku obróbki cieplnej lub cieplno-chemicznej odporność na ścieranie poszczególnych rodzajów zbadanych stali rośnie następująco: stale niskowęglowe, stale średniowęglowe, stale wysokowęglowe, stale niskowęglowe nawęglane, stale cyjanowane, stale azotowane.

Przy badaniu stali węglowych uzyskano wyniki, które nie pokrywają się z wnioskami podanymi poprzednio, a mianowicie:
a) struktury perlityczne z perlitem płytkowym są nieco bardziej odporne na ścieranie niż z perlitem kulkowym;
b) odporność na ścieranie stali hartowanych rośnie ze wzrostem zawartości w nich węgla, jednakże od 0,8% wzrost ten staje się coraz mniejszy, a od 1% C niemal całkowicie zanika (rys. 8.12).
c) ze wzrostów zawartości austenitu szczątkowego w strukturze martenzytycznej stali narzędziowych odporność ich na ścieranie ciągle maleje; d) w stalach cieplnie ulepszonych ze wzrostem temperatury odpuszczania odporność na ścieranie maleje, ale w mniejszym stopniu niż twardość (rys. 8.13);

Rys. 8.12. Zależność między twardością HV i odpornością na zużycie ścierne Jwz stali hartowanych a zawartością w niej węgla

Rys. 8.13. Zależność między twardością HV i odpornością na zużycie ścierne Jwz stali a temperaturą jej odpuszczania

e) najbardziej odporne na ścieranie są struktury martenzytyczne nieodpuszczone.

Odporność na ścieranie metali o izotropowej budowie strukturalnej (wyżarzonych) względnie o prostej mikrostrukturze jest zależna od ich makroskopowych własności mechanicznych. Wszelkie zabiegi technologiczne, które zmieniają własności mechaniczne ciał, naruszają określoną współzależność między tymi własnościami a odpornością na ścieranie tych metali w stanie wyżarzonym.
Dla podeutektoidalnych stali wyżarzonych, ferrytyczno-perlitycznych, gdy wzrost twardości ze wzrostem zawartości węgla jest spowodowany jedynie wzrostem zawartości perlitu o tej samej budowie, czyli zmianą stosunku zawartości faz bez zmiany istotnych cech struktury, odporność na ścieranie jest ściśle zależna od twardości.
Po przejściu przez punkt eutektoidalny (a według niektórych badań nawet nieco wcześniej), gdy mikrostruktura stali istotnie się zmienia, zależność między tymi wielkościami, występująca w przypadku stali podeutektoidalnych, przestaje obowiązywać. Zmiana budowy perlitu zmienia również w obu zakresach zależność między twardością a odpornością na ścieranie (rys. 8.14).
Rys. 8.14. Wpływ budowy perlitu na zmianę zależności między twardością a odpornością na zużycie ścierne; 1 - stal z perlitem płytkowym, 2-stal z perlitem kulkowym

Podobnie dla stali cieplnie ulepszonych zależność między twardością a odpornością na ścieranie wydaje się w pełni wiarogodna jedynie w zakresie tego samego typu struktury, tj. sorbitu i perlitu o różnym stopniu dyspersji. Zanik tej zależności dla troostytu, a zwłaszcza bainitu, w związku z odmiennymi cechami tych struktur, wydaje się w świetle tej analizy całkowicie uzasadniony.
Należy zwrócić uwagę na to, że przyrostom twardości ,,naturalnej", tj. dla czystych metali i wyżarzonych stali, odpowiadają znacznie większe przyrosty odporności na ścieranie niż przyrostom twardości uzyskanym w wyniku ulepszania cieplnego. Przyrost twardości w wyniku zgniotu w ogóle nie powoduje wzrostu odporności na ścieranie. Zależności te potwierdzają podaną poprzednią tezę, że tylko zmiany strukturalne spowodowane obróbką cieplną, mechaniczną itd. materiału określają zmianę jego odporności na ścieranie, a nie związany z nią wzrost twardości.
Odporność na ścieranie żeliwa, jako stopu o budowie wielofazowej, charakteryzują cechy strukturalne, własności i procentowy udział poszczególnych faz, szerokość i kształt ich ziarn oraz ich wzajemne rozmieszczanie.
Jedną z cech charakteryzujących ścieranie żeliwa jest to, że składnikiem jego ulegającym najintensywniejszemu zużyciu jest grafit. Produktem zużycia jest pył grafitowy, stanowiący substancję smarującą, zmniejszającą wartość współczynnika tarcia i zwiększającą odporność na zużycie ścierne, zwłaszcza przy tarciu suchym. Przy tarciu mieszanym zagłębienia i szczeliny utworzone wskutek ubytku grafitu stają się zasobnikami smaru. W zagłębieniach tych gromadzą się ponadto produkty zużycia, przez co zmniejsza się ich działanie ścierne. Z drugiej strony wtrącenia grafitowe w żeliwie są smarami o bardzo małej wytrzymałości, powodującymi wytwarzanie przerw w osnowie metalicznej, co może prowadzić do rozpoczęcia oddzielenia cząstek metalu.
Wpływ mikrostruktury na odporność żeliwa na ścieranie zależy od: udziału i struktury warstwy metalicznej, udziału, postaci i dyspersji wtrąceń grafitowych oraz od udziału i postaci eutektyki fosforowej. Wymienione czynniki mikrostrukturalne zależą oczywiście od składu chemicznego żeliwa, od warunków krzepnięcia i stygnięcia odlewu oraz ewentualnej jego obróbki cieplnej.
    

8.3. Zużycie adhezyjne

Zużycie adhezyjne (przez sczepianie pierwszego rodzaju) występuje w mikroobszarach plastycznego odkształcenia warstwy wierzchniej, a zwłaszcza najwyższych wierzchołków chropowatości. Powstają wówczas lokalne sczepienia metaliczne powierzchni trących i niszczenie tych połączeń wraz z odrywaniem cząstek metalu lub jego rozmazywaniem na powierzchniach tarcia. Zużycie adhezyjne występuje przy tarciu ślizgowym o małych prędkościach względnych i dużych naciskach jednostkowych na obszarach rzeczywistej powierzchni styku, jeżeli cząstki obu powierzchni zostaną zbliżone na odległość zasięgu działania sił molekularnych. Zużycie adhezyjne występuje przy styku dwóch powierzchni metalicznych, zwłaszcza gdy stykają się metale jednoimienne, charakteryzujące się dużym powinowactwem chemicznym. Metale mają na powierzchni potencjał sił elektrodynamicznych wywołanych drganiem atomów powierzchniowych.
Tlenki metali mają wiązania jonowe i tworzą potencjał sił elektrostatycznych powierzchni o znacznie mniejszym zasięgu niż siły elektrodynamiczne. Warstewka tlenków metali na powierzchni elementu maszyny tłumi fale elektrodynamiczne, osłabiając potencjał powierzchni. Praktycznie warstewka tlenków na powierzchni metalu zmniejsza oddziaływanie adhezyjne obszarów styku. Przyciąganie adhezyjne występuje między nie zetkniętymi obszarami trących się powierzchni zbliżonymi na odległość zasięgu wiązania między atomami (odległość równa długości parametru sieci). Całkowita siła przyciągania adhezyjnego jest funkcją wartości sił międzycząsteczkowych oraz rzeczywistej powierzchni styku.
Przyciąganie adhezyjne bez trwałych wiązań międzypowierzchniowych nie powoduje zużycia. Sczepienie między powierzchniami dwóch elementów maszyn wykonanych z metali może nastąpić, jeśli z obszarów styku zostaną usunięte warstewki adsorbowane oraz zostanie pokonana bariera fizyczna wiązania metalicznego, np. w wyniku pracy tarcia. Jednostkowa praca tarcia (praca na jednostkę rzeczywistej powierzchni styku) jest miarą sczepienia.
Pewną odmianą sczepiania w zużyciu adhezyjnym jest zrastanie tarciowe będące trwałym połączeniem stykających się obszarów trących powierzchni metalowych części maszyn na skutek dyfuzji poprzez pierwotną granicę ich rozdziału. Powstaje ono przy dużych odkształceniach plastycznych oraz wysokiej temperaturze mikroobszarów tarcia. Skłonność do zrastania zależy od rozpuszczalności i szybkości dyfuzji lub samodyfuzji w stanie stałym materiałów współpracujących elementów, czasu styku, wartości odkształcenia plastycznego i temperatury mikroobszarów tarcia.
Zużywanie adhezyjne współtrących elementów maszyn następuje przy prędkościach poślizgu do 0,2 m/s i naciskach nominalnych do 11 MPa. Ścinanie sczepień występuje często, zwłaszcza przy dużych naciskach jednostkowych, powodując na granicy materiału umocnionego wyrwy na powierzchni i przenoszenie materiału na drugą powierzchnię, tj. narosty o większej twardości niż rdzeń. Narosty te mają nieregularne kształty i ostre krawędzie. Działają one jak zamocowane mikroostrza przy skrawaniu.
Wysokie własności mechaniczne (twardość, granica plastyczności itp.) zwiększają odporność na zużycie adhezyjne. Wartość współczynnika tarcia wywołanego oddziaływaniem adhezyjnym stali po stali wynosi 0,5÷1,2.
Przy małych i średnich jednostkowych mocach tarcia (praca tarcia na jednostkę rzeczywistej powierzchni styku i jednostkę czasu) intensywność zużywania jest niezbyt duża i wartość współczynnika tarcia zawiera się w granicach 0,3÷0,7. Zużycie adhezyjne występuje także przy tarciu mieszanym i granicznym.
Niejednolity charakter zużycia adhezyjnego w różnych zakresach tarcia oraz jego intensywność zależą od wielu własności fizycznych trących się ciał. Intensywność zużywania adhezyjnego ograniczają następujące własności materiałów elementów maszyn:
- zdolność intensywnej adsorpcji i chemisorpcji w niskich temperaturach;
- zdolność tworzenia w procesie tarcia powierzchniowych warstewek tlenkowych o twardości zbliżonej do twardości metali oraz o dużej wytrzymałości i spójności z metalem podstawowym;
- mała plastyczność metalu, wolno wzrastająca ze wzrostem temperatury;
- struktura metali nie tworząca trwałych sieci przejściowych (wiązań międzyfazowych);
- mała wartość współczynnika dyfuzji innych metali.

Skłonność metali do wzajemnego sczepiania mierzy się stopniem niezbędnego w tym celu odkształcenia plastycznego przy danym schemacie obciążenia (tabl. 8.3).

Tablica 8.3. Wyniki badań skłonności niektórych metali do połączeń tarciowych

MetalPorównywalne obciążenie, przy którym występuje styk metaliczny
N
Odkształcenie połączenia na zimno jednakowych metali
%
Porównywalny współczynnik tarcia suchego
metal po metalutlenek po tlenku
Ind-10--
Ołów-35--
Cyna0,000 28211
Aluminium0,002 0571,20,8
Srebro0,000 037210,8
Cynk0,004 9089
Miedź0,009 80831,60,8
Żelazo0,098 1860,61,0
Nikiel-91--
Chrom9,8--0,4

W podwyższonej temperaturze łatwość sczepiania się dwóch elementów tego samego metalu jest odpowiednio większa (tj. niezbędne w tym celu odkształcenie jest mniejsze). Wyróżnić można stykające się metale nie sczepiające się w tych warunkach oraz wykazujące małą lub dużą skłonność do sczepiania.
Zdolność metali do sczepiania zależy głównie od struktury elektronowej ich atomów, rodzaju ich sieci przestrzennej i makroskopowych cech plastycznych. Na skłonność do sczepiania dwóch różnych metali, tj. łatwość utworzenia między nimi sieci przejściowej, wpływa podobieństwo ich układu krystalograficznego oraz różnice wartości stałych sieciowych. Duże różnice tych cech przeważnie uniemożliwiają sczepianie. W stalach skłonności do sczepiania sprzyja wzrost zawartości ferrytu lub austenitu (szczątkowego). Znaczną skłonność do sczepiania ze stalą wykazują m. in. Ba, Ti, Cr, Co, Ni, Mo, Cu, Al, Zn i Mg, małą skłonnością natomiast odznaczają się m. in. Sn, Sb, Bi, Cd, Pb i In.
Większą skłonność do sczepiania wykazują metale przy podwyższonej energii sieci. Na podwyższenie stanu energetycznego wpływa wzrost temperatury, zgniot (defekty sieci), sprężyste odkształcenie sieci i inne. Natomiast istnienie obcych atomów w sieci, domieszek lub dodatków stopowych na ogół utrudnia sczepianie się metali.
Obce atomy powodując zaburzenia sieci podstawowej widocznie wpływają na budowę złożonej sieci przejściowej i dlatego zwiększają niezbędny do sczepiania potencjał sieci. Fakt ten jest znany z praktyki. Stopy miedzi z pierwiastkami, których atomy powodują najsilniejsze zaburzenia sieci miedzi, np. z cyną, antymonem i fosforem, mają znacznie mniejszą skłonność do sczepiania niż czysta miedź. W warunkach sprzyjających zrastaniu tarciowemu korzystniejszy dobór trących elementów z punktu widzenia najmniejszej intensywności sczepiania powinien uwzględniać zestawienie metali wzajemnie nierozpuszczalnych w stanie stałym lub tworzących fazy międzymetaliczne. Fazy międzymetaliczne są kruche i ulegają w procesie tarcia stosunkowo łatwo zniszczeniu. Roztwory stałe na ogół mają wyższą wytrzymałość od metali, z których powstały i dlatego zniszczenie ich następuje w głębi warstwy wierzchniej metali.
Słuszność zastosowania zasad tworzenia roztworów stałych i faz międzymetalicznych dla dobranych par metali odpornych na zrastanie tarciowe potwierdza doświadczenie. Na przykład ołów, mający znacznie większy promień atomowy od żelaza i nie tworzący z nim roztworów stałych, wykazuje doskonałą odporność na zrastanie z żelazem. Podobnie niewielką skłonność do zrastania tarciowego ze stalą wykazuje ind i srebro mające znacznie większe promienie atomowe niż żelazo i wykazujące w nim bardzo małą rozpuszczalność. Dobrą odporność na zrastanie cyny z żelazem można objaśnić tym, że tworzy ona z żelazem fazy międzymetaliczne o niskiej wytrzymałości. Natomiast blisko siebie położone pierwiastki czwartego okresu, np. Cr, Fe, Co, Ni, zrastają się intensywnie. Podobnie miedź i cynk, mające już zbliżone promienie atomowe do żelaza, wykazują większą rozpuszczalność i większą z nim skłonność do zrastania tarciowego.
Skłonność metali do sczepiania lub zrastania jest tylko jednym z czynników określających odporność na zużycie adhezyjne. Drugi czynnik stanowi skłonność metalu do tworzenia na powierzchni warstewek tlenkowych (przy tarciu w środowisku atmosferycznym). Warstewki tlenkowe, mające wiązania o charakterze niemetalicznym, nie wykazują praktycznie skłonności do sczepiania. Dlatego utlenienie powoduje zmniejszenie sczepiania i zrastania powierzchni.
Stopy żelaza, najczęściej stosowane w budowie maszyn, należą do materiałów odznaczających się w zasadzie dużą skłonnością do sczepiania i zrastania oraz tworzenia warstewek tlenkowych odpornych na zużycie. Stąd wynika, że intensywność zużycia adhezyjnego tych materiałów w znacznym stopniu zależy od warunków tarcia, które określają intensywność tworzenia i możność utrzymania tych warstewek tlenkowych. Odporność na zużycie adhezyjne metali i ich stopów współpracujących ze stopami żelaza, np. stalą, można uszeregować w kierunku od największej do najmniejszej odporności następująco:
- metale intensywnie sczepiające się ze stalą, nie tworzące powierzchniowych warstewek tlenkowych, nie mają znaczenia technicznego;
- metale intensywnie sczepiające się ze stalą, tworzące mało odporne powierzchniowe warstewki tlenkowe (Zn, Mg i inne);
- metale intensywnie sczepiające się ze stalą, tworzące powierzchniowe warstewki tlenkowe (Cr, stale, Cu, niektóre brązy, Al i inne);
- metale mało skłonne do sczepiania ze stalą, tworzące mało odporne powierzchniowe warstewki tlenkowe (Sb, Bi, Cd i inne).
    

8.4. Scuffing

Scuffing jest rodzajem zużycia, na które składają się elementy zużycia ściernego i adhezyjnego. Termin scuffing jest stosowany do określenia formy gwałtownego zużycia spowodowanego przerywaniem warstwy oleju pod odpowiednio dużym obciążeniem. Charakteryzuje się ono zjawiskiem zespawywania i rozrywania połączeń wierzchołków nierówności zachodzącym w mikroobszarach styku.
Scuffing przyjmuje różne formy określane w literaturze jako lekki, umiarkowany i intensywny. W przypadkach szczególnie ciężkich warunków pracy obserwuje się nawet oznaki zadzierania powierzchni. Scuffing jest więc wynikiem wzajemnego oddziaływania nierówności powierzchni w warunkach przerywania warstwy olejowej. W warunkach takich wytwarza się duża ilość ciepła, która jest zależna od wartości obciążenia i prędkości względnej. Ilość wytworzonego ciepła wzrasta wraz ze wzrostem częstotliwości (prędkość) oraz ze wzrostem intensywności (obciążenie) oddziaływania nierówności. Scuffing jest zatem skutkiem szczególnie gwałtownego zaczepiania nierówności powierzchni w warunkach, gdy warstwa olejowa istnieje, lecz jest zbyt cienka w stosunku do wysokości nierówności. Wystąpienie scuffingu powoduje zachwianie równowagi termicznej i mechanicznej, wskutek czego proces ten rozwija się często w sposób lawinowy lub też jego intensywność jest bardzo duża.
    

8.5. Zużycie przez utlenianie

Zużyciem przez utlenianie nazywa się proces niszczenia warstwy wierzchniej elementów metalowych przy tarciu wskutek oddzielenia warstewek tlenków powstałych w wyniku adsorpcji tlenu w obszarach tarcia, dyfuzji tlenu w odkształcone plastycznie i sprężyście mikroobjętości metalu z jednoczesnym tworzeniem warstewek stałych roztworów. Ten rodzaj zużycia występuje wtedy, gdy intensywność tworzenia warstewek tlenków jest większa od intensywności niszczenia powierzchni przez ścieranie.
Zużycie przez utlenianie występuje przy tarciu ślizgowym i tocznym. Przy tarciu tocznym zużyciu przez utlenianie towarzyszy zawsze zużyciu zmęczeniowemu i przy niedużych intensywności ach odkształceń może być ono dominujące. Przy tarciu ślizgowym zużycie przez utlenienie występuje w przypadku tarcia granicznego, tarcia technicznego suchego.

Tablica 8.4. Zawartość tlenu w warstwie wierzchniej stali węglowej po zużywaniu

Rodzaj zużyciaZawartość w warstwie wierzchniej, %
tlenuazotu
Sczepienie na zimno0,034 0nieznaczne ślady
Przez utlenienia0,5184j.w.
Cieplne (sczepiania na gorąco)0,066 lj.w.
Przez łuszczenie0,019 9j.w.
Przez materiał wyjściowy0,019 0j.w.

Zużycie przez utlenienie występuje najintensywniej przy tarciu par metali charakteryzujących się różnymi własnościami mechanicznymi. Najbardziej charakterystyczny jest ten rodzaj zużycia w przypadku stopów wieloskładnikowych lub metali na osnowie roztworów stałych, albo też stopów o strukturze heterogenicznej.
Proces utleniania metali jest skomplikowany. Niemal we wszystkich przypadkach tarcia metali w warstwie wierzchniej istnieją ślady wskazujące na dyfuzję tlenu. Jednak w warunkach charakterystycznych dla zużycia przez utlenianie ilość tlenu jest wyraźnie większa od ilości stwierdzonej w warstwach wierzchnich przy innych rodzajach zużycia (tabl. 8.4). Jednocześnie intensywność zużywania jest w tym przypadku znacznie mniejsza od intensywności zużywania przy innych rodzajach zużycia (rys. 8.15).

Rys. 8.15. Odporność na zużycie stali zależnie od rodzaju procesów warunkowanych prędkością prześlizgu

Rys. 8.16. Strefy warstwy wierzchniej tworzone podczas zużywania przez utlenianie (pow. 500x)

Proces utleniania metalu warstwy wierzchniej składa się z kilku etapów, którym odpowiadają łatwo wykrywalne w metalach, zwłaszcza w stalach (rys. 8.16), strefy warstwy wierzchniej. Strefa górna, utleniona najwięcej, o grubości ok. 10÷45 µm, zawiera Fe2O3, strefa położona głębiej, o grubości 50÷120 µm, zawiera Fe3O4, zaś strefa granicząca z rdzeniem metalu zawiera FeO, o grubości 70÷150 µm. W miarę trwania utleniania i niszczenia warstwy proces postępuje w głąb metalu. Warstwa wierzchnia jest jakby „ruchoma", tzn. w miarę ubytku materiału przemieszcza się w głąb rdzenia, zachowując przy ustabilizowanych parametrach procesów tarcia i zużywania stały skład chemiczny i grubość poszczególnych stref. Twardość materiału poszczególnych stref utlenionych jest zwykle większa od twardości materiału rdzenia. Jest to wynik przede wszystkim tworzenia się tlenków, z natury twardszych od metalu wyjściowego, ale także w pewnym stopniu wynik umocnienia mechanicznego na skutek tarcia. Twardość warstw utlenionych jest bardzo znaczna; w niektórych przypadkach rośnie ona bardzo dużo w porównaniu z twardością metalu wyjściowego, np. twardość aluminium wzrasta o kilkaset procent. Cechą charakterystyczną procesów utleniania warstw wierzchnich trących metali jest to, że powodują one zmianę rodzaju struktury tych warstw.
Struktury nowe, wytwarzane na powierzchni tarcia i w warstwie wierzchniej, wykryto m. in. za pomocą promieni rentgenowskich. Wykryto z zupełnie zadowalającą dokładnością wszystkie trzy fazy utleniania, stwierdzając istnienie tlenków żelaza. Zjawisko utleniania i następujący po nim proces zużywania, polegający na odkruszaniu od powierzchni tarcia warstw utlenionych, jest więc już obecnie bezsporny. Istnieją podstawowe różnice w wartościach współczynników tarcia i intensywność zużywania w przypadku utworzenia lub braku warstewki tlenków. Pozytywny wpływ warstw tlenków na charakterystyki tarcia wskazują wyniki badań przedstawione na rys. 8.17 do 8.19. Wskazują one także, że w warstwach wierzchnich jest znacznie niższa temperatura (rys. 8.20) przy tarciu w powietrzu niż w argonie, co naturalnie musi wpływać pozytywnie na odporność na zużycie warstw wierzchnich trących metali.

Rys. 8.17. Różnice wartości zużywania stali przy tarciu ślizgowym w różnych ośrodkach; 1 - tarcie suche w argonie, 2 - tarcie suche w powietrzu, 3 - tarcie graniczne w argonie, 4-tarcie graniczne w powietrzu

Rys. 8.18. Zmiana odporności na zużycie stali 45 przy tarciu granicznym; 1 - w argonie, 2 - w powietrzu; nacisk jednostkowy 3 MPa, prędkość ślizgania 4,5 m/s

Rys. 8.19. Wartość temperatury w warstwie wierzchniej przy tarciu granicznym; 1 - w argonie, 2 - w powietrzu

Rys. 8.20. Zmiana wartości współczynnika tarcia granicznego stali 45; 1 - tarcie w argonie, 2 - tarcie w powietrzu; nacisk jednostkowy 3 MPa, prędkość ślizgania 4,5 m/s

Stwierdzono, że zasadnicze charakterystyki i mechanizm procesu zużywania przez utlenienie są zależne od procesów chemicznej adsorpcji, mikroplastycznych odkształceń i dyfuzji tlenu. Wszystkie te procesy zachodzą równocześnie w poszczególnych strefach warstwy wierzchniej trących metali. Intensywność procesu zużycia przez utlenienie zależy od: chemicznej aktywności metalu, plastyczności trących metali, szybkości dyfuzji tlenu do metalu, własności utworzonych warstw tlenków. Ostatecznie można stwierdzić, że intensywność procesów zużycia przez utlenienie jest zależna od charakterystyk procesu tarcia.
Zużycie przez utlenianie, przy tworzeniu na powierzchni tarcia cienkich warstw chemicznie adsorbowanego tlenu i następnie tlenków, charakteryzuje się równoważnymi procesami tworzenia i usuwania z powierzchni tarcia ultramikroskopijnych błonek utlenionego metalu. Nie zauważa się przy tym plastycznego odkształcenia znaczniejszych obszarów metalu, a także i zjawisk dyfuzji. Taka odmiana zużycia przez utlenienie występuje najczęściej w elementach pracujących przy nieznacznych szybkościach ślizgania i niedużych obciążeniach, przy ustabilizowanym tarciu granicznym.
Przy tworzeniu nieuporządkowanych stałych roztworów i eutektyk chemicznych związków tlenu z metalem zużycie przez utlenienie charakteryzuje się powstawaniem i stopniowym niszczeniem całej warstwy tlenków.
Przy tworzeniu chemicznych związków tlenu z metalem zużycie przez utlenienie charakteryzuje się tworzeniem i usuwaniem z powierzchni warstewek tlenków, odpryskujących od powierzchni zarówno pod wpływem działania sił tarcia, jak i z powodu utraty sczepności z metalem rdzenia wskutek zwiększenia objętości tlenków metalu w stosunku do objętości metalu wyjściowego.
    

8.6. Zużycie zmęczeniowe

Zużycie zmęczeniowe jest rodzajem zużycia, w którym miejscowa utrata spójności i związane z nią ubytki materiału są spowodowane zmęczeniem materiału w wyniku cyklicznego oddziaływania naprężeń kontaktowych w warstwach wierzchnich kojarzonych elementów tarciowych.
Wskutek nakładania się odkształceń w warstwie wierzchniej w wyniku superpozycji naprężeń własnych i naprężeń od obciążeń zewnętrznych w obszarach spiętrzenia naprężeń tworzą się zmęczeniowe mikropęknięcia powierzchniowe, przechodzące następnie w makropęknięcia. W końcowym efekcie następuje odrywanie od rdzenia kawałeczków metalu. Przy tego rodzaju oddziaływaniu przez długi czas, zależny od parametrów procesu tarcia i jego charakteru oraz od wielkości obciążeń zewnętrznych, nie zachodzą ubytki metalu, a jedynie makroodkształcenia. Po przekroczeniu granicznej liczby cykli obciążeń i dopiero po osiągnięciu granicy zmęczenia przez poszczególne mikroobjętości metalu warstwy wierzchniej występuje ubytek masy. Początek ubytku masy, wywołany zmęczeniem warstwy wierzchniej, uważa się praktycznie za początek końcowego okresu przydatności części maszyny do eksploatacji. Typowe przykłady par trących, w których może wystąpić zużycie zmęczeniowe zostały przedstawione na rys. 8.21.
Należy odróżnić zużycie zmęczeniowe powierzchniowe od zużycia zmęczeniowego objętościowego. Efektem procesów zużycia powierzchniowego są miejscowe ubytki materiału warstwy wierzchniej, natomiast w przypadku zużycia zmęczeniowego objętościowego - pęknięcia zmęczeniowe.
Rys. 8.21. Mikroodkształcenia w obszarach trybologicznych podczas zużycia zmęczeniowego:
a) kulka po zakrzywionej bieżni,
b) kulka po płaszczyźnie,
c) walec po płaszczyźnie,
d) walec po walcu,
e) zęby kół zębatych (z reguły z prześlizgiem)

Różne są także przyczyny zapoczątkowania zużycia zmęczeniowego, wynikające z odmiennego charakteru obciążeń. W przypadku powierzchniowego zużycia zmęczeniowego mają one charakter obciążeń kontaktowych. Przy zużyciu zmęczeniowym objętościowym zmiany są wynikiem wielokrotnych makroskopowych odkształceń sprężystych, natomiast powierzchniowe pęknięcia zmęczeniowe powstają przy tarciu, na ogół pod wpływem wielokrotnych odkształceń sprężysto-plastycznych lub plastycznych. Inne są również w obu przypadkach stany naprężeń materiału doprowadzające do dekohezji zmęczeniowej. W obszarach warstwy wierzchniej bezpośrednio przylegających do strefy styku powstaje specyficzny stan naprężeń.
Rys. 8.22. Rozkład naprężeń w styku punktowym (strefowym); w punkcie Bielajewa występuje największe naprężenie styczne tmax

Tak np. przy styku dwóch ciał sprężystych mających krzywoliniową powierzchnię tarcia (rys. 8.22), która zapewnia styk strefowy lub punktowy, maksymalne naprężenie styczne pojawia się nie na powierzchni tarcia, ale na pewnej głębokości pod powierzchnią (punkt Bielajewa). Głębokość zalegania maksymalnego naprężenia stycznego wynosi
y = 0,78 a

gdzie a - połowa długości powierzchni rzeczywistego styku (rys. 8.22); wartość naprężenia stycznego wynosi w tym miejscu około 0,30 pmax.

Maksymalne naprężenie ściskające, działające na średnią długość powierzchni styku cylindra z płaszczyzną, określa się wg Hertza z równania
pmax = [ P E
2 π (1 - ν² ) r b
]½ = - σy max (8.9)

gdzie: b - długość cylindra w m, r - promień cylindra w m, P - obciążenie w N, ν - liczba Poissona.

Jeśli wybierze się dla pmax taką skalę, przy której wartość odcinka prostej będzie równa a, to rozkład nacisków jednostkowych p = σy na szerokości płaszczyzny o długości 2 a, przedstawionej wg Hertza w postaci półkrzywizny, wyrazi się równaniem
p = pmax[ 1 -
]½ = - σy (8.10)

Przekształcenie tych wzorów oraz rozpatrzenie innych przypadków styku przy tarciu tocznym, np. dla kulki z płaszczyzną lub dla dwóch kulek czy walców, prowadzi do wniosku, że krytyczny punkt, w którym wystąpi maksymalne naprężenie styczne τmax w decydującym stopniu wpływające na powstanie zmęczeniowego pęknięcia, leży na głębokości około 0,78a pod powierzchnią styku.
Maksymalne naprężenie styczne
τmax = σx - σy
2
(8.11)

przy czym
σy (x=0) = pmax a
( + )½
(8.12)

σx (x=0) = 2 pmax
a
pmax
a
+ 2
( + )½
(8.13)

Słuszność tych teoretycznych rozważań potwierdza się także doświadczalnie. Zdjęcia elastooptyczne modeli wskakują m. in., że spiętrzenie naprężeń stycznych występuje wyraźnie pod powierzchnią, a nie na powierzchni.

W miarę wzrostu współczynnika tarcia, tzn. wzrostu siły tarcia oddziałującej na strefę styku łącznie z obciążeniem normalnym, przemieszcza się obszar maksymalnego wytężenia materiału warstwy wierzchniej ku powierzchni tarcia i jednocześnie oddala się od osi symetrii (tabl. 8.5).
Opisane zjawiska prowadzą do zużycia zmęczeniowego. Można wyróżnić dwa rodzaje zużycia zmęczeniowego: zużycie przez łuszczenie (spalling) i zużycie przez pitting.

Tablica 8.5. Wartości (σx - σy)/P dla ???!!!= 0,5 przy tarciu tocznym z poślizgiem w różnych punktach warstwy wierzchniej

x/a

y/a

-1,0-0,6-0,20,00,20,61,0
0,01,0000,7400,5450,4000,4550,6001,000
0,40,3220,3780,4780,5220,5060,4950,155
0,80,2020,4000,5680,6000,5740,4000,135
1,00,2290,4500,5120,5860,5490,3500,039

8.6.1. Zużycie przez łuszczenie (spalling)

Zużycie przez łuszczenie (spalling) polega na stopniowym narastaniu naprężeń w warstwie wierzchniej skojarzonych elementów tarciowych (toczenie lub toczenie z poślizgiem) przy suchym styku w granicach naprężeń Hertza, w wyniku cyklicznego oddziaływania naprężeń kontaktowych, a następnie na tworzeniu się mikropęknięć i rozprzestrzenianiu się ich, powodujących odpadnięcie cząstki materiału od podłoża. Może ono wystąpić również w elementach niedostatecznie smarowanych. Objawia się miejscowymi ubytkami materiału o kształcie łusek oddzielanych podczas tarcia od podłoża. Zużycie przez łuszczenie powstaje w czasie 2-4 razy krótszym w porównaniu z zużyciem przez pitting, a ubytki materiału są w tym przypadku dużo większe.
Procesom zużywania zmęczeniowego przez łuszczenie towarzyszą procesy utleniania materiału warstwy wierzchniej. W czystej postaci zużycie przez łuszczenia występuje przy tarciu tocznym metali twardych o wysokiej granicy plastyczności. Zużycie przez łuszczenie jest uwarunkowane wyłącznie narastaniem naprężeń wewnątrz warstwy wierzchniej wskutek bezpośredniego styku trących elementów, w których w wyniku narastania naprężeń rozwijające się mikropęknięcia dochodzą aż do powierzchni, powodując całkowitą utratę spójności cząstki metalu z podłożem. W procesie zużywania przez łuszczenie materiał warstwy wierzchniej umacnia się pod wpływem plastycznych odkształceń, których wartość wyraźnie się zwiększa oraz rośnie gradient naprężeń.
Ogólne prawidłowości zużycia przez łuszczenie są następujące: proces zużycia przez łuszczenie, wyrażający się w zmęczeniowym tworzeniu pęknięć metalu warstw wierzchnich, występuje przy tarciu tocznym pod wpływem obciążeń wywołujących plastyczne odkształcenia mikroobjętości metalu w strefie styku.
Podstawowymi czynnikami wpływającymi na intensywność zużycia przez łuszczenie są: głębokość plastycznie odkształconej warstwy wierzchniej oraz intensywność plastycznych odkształceń tych warstw. Grubość odkształconej plastycznie warstwy wpływa na głębokość występowania mikropęknięć, zaś intensywność plastycznego odkształcenia ma wpływ na intensywność zużywania.
Zmiany ilościowe podstawowych charakterystyk zużycia przez łuszczenie są zależne od wartości nacisków jednostkowych przy styku, liczby i częstotliwości cykli obciążenia, wymiarów i kształtu trących elementów, a także od mechanicznych własności metali.

8.6.2. Pitting

Zużycie przez pitting (zużycie gruzełkowe) jest zużyciem zmęczeniowym, spowodowanym cyklicznym oddziaływaniem naprężeń kontaktowych powstających w warstwach wierzchnich elementów skojarzeń tarciowych (toczenie lub toczenie z poślizgiem) przy smarowanym styku w granicach naprężeń Hertza. Jest to więc zużycie zmęczeniowe występujące w obecności oleju.
Przy zużywaniu przez pitting można wyróżnić trzy etapy:
1) zmęczenie materiału i inicjacja pęknięć,
2) rozwój i rozprzestrzenianie się pęknięć w wyniku rozklinowującego działania oleju,
3) wyrywanie przez olej cząstek metalu, które zmniejszyły lub utraciły spójność z macierzystym materiałem.

W etapie pierwszym zmęczenie materiału następuje w wyniku cyklicznego oddziaływania naprężeń. Inicjację pęknięć i powstanie pierwszego mikropęknięcia wiąże się zazwyczaj z miejscem największego wytężenia materiału, tj. z wędrującym punktem Bielajewa. Niezależnie od możliwości inicjacji pęknięć w punkcie Bielajewa mogą one także powstawać na powierzchni materiału nawet wtedy, gdy stosunek siły stycznej do normalnej nie jest równy 1/3. Wszelkie wady powierzchni i nieciągłości struktury mogą stanowić źródło inicjacji pęknięć zmęczeniowych. W czasie pierwszego etapu olej działa hamująco na postęp procesów zmęczeniowych, gdyż łagodzi naciski jednostkowe w strefie kontaktu, co wpływa dodatnio na wytrzymałość powierzchniową materiału. W wyniku tego działania zużycie zmęczeniowe w obecności oleju występuje znacznie później niż w przypadku zużywania skojarzenia niesmarowanego.
W drugim etapie pęknięcia zmęczeniowe powiększają się i obejmują coraz większe części materiału. Dużą i niekorzystną rolę odgrywa olej w rozprzestrzenianiu pęknięć. Olej, znajdujący się w strefie styku w granicach naprężeń Hertza, podlega działaniu wysokich nacisków jednostkowych i wnika w istniejące na powierzchni szczeliny. Zdolność wnikania oleju w szczeliny jest tym większa, im ma on mniejszą lepkość i napięcie powierzchniowe. Dużą zdolność do wnikania mają więc oleje wysokouszlachetniane, zawierające dodatki dyspergująco-detergencyjne. Olej jako ciecz nieściśliwa, wtłaczany pod znacznym ciśnieniem w szczelinę, wywiera działanie rozklinowujące tę szczelinę, powodujące powiększenie jej wymiarów. Dodatki uszlachetniające o dużej zdolności do adsorpcji fizycznej i chemisorpcji, sorbując na powierzchniach wewnętrznych szczelin, wywołują zmniejszenie energii powierzchniowej i zmniejszenie spójności materiału wewnątrz szczelin, wywołanej siłami adhezji. Tak więc oleje z dodatkami powierzchniowo czynnymi wywierają silne działanie rozklinowujące, przez co przyczyniają się do rozprzestrzeniania się pęknięć.
W trzecim etapie warstwa wierzchnia elementu skojarzenia tarciowego ma już znacznie rozwiniętą subtelną siatkę spękań i szczelin. Cząstki cieczy smarującej wypełniające przestrzeń między dwiema trącymi powierzchniami, a zwłaszcza dodatki smarnościowe, tworzą na powierzchniach warstwy graniczne (rys. 8.23). Podczas przetaczania się powierzchni po sobie warstwy te są na przemian ściskane i rozciągane. Ponieważ warstwy te są związane z podłożem siłami adsorpcji lub chemisorpcji, dlatego też w warunkach gwałtownego rozciągania i ściskania warstwy oddziałują one odpowiednią składową ściskającą lub rozciągającą na spękaną warstwę wierzchnią. Oddziaływanie takie przyspiesza pitting, gdyż rozciągane cząsteczki, silnie związane z podłożem, powodują wyrywanie części materiału, które wskutek spękania zmęczeniowego utraciły lub zmniejszyły spójność z rodzimym materiałem.
Rys. 8.23. Schemat działania sil międzycząsteczkowych warstw granicznych;
1, 2 - walce,
3 - cząsteczki smaru,
v - składowe prędkości ślizgania cząstek smaru,
σ - naprężenia w obszarze styku,
N - siła normalna,
R - reakcja

Przedstawiony schemat wpływu warstw granicznych na przebieg pittingu potwierdziły liczne badania, z których wynika, że dodatki smarnościowe zmniejszają odporność na zużycie przez pitting.

    

8.7. Fretting

Fretting jest rodzajem zużycia zachodzącego przy bardzo niewielkich (rzędu ułamka mm) wzajemnych przemieszczeniach stykających się ciał. W szerokim tego słowa znaczeniu, terminem fretting określa się zespół zjawisk mechanicznych, cieplnych, chemicznych i elektrycznych zachodzących w strefach kontaktu ciał, gdy przemieszczają się one minimalnie względem siebie przy ruchu obrotowo- lub postępowo-zwrotnym, w wyniku drgań, pulsacji obciążeń itd. Jest to więc zużywanie w miejscach ,,nominalnie" nieruchomych połączeń.
Cykliczność drgań i związana z nimi amplituda wzajemnych przemieszczeń powoduje, że zużycie przez fretting ma charakter zmęczeniowo-ścierny (drgania powodują zjawiska zmęczeniowe, a minimalne przemieszczenia - zjawiska ścierania). „Czysty” fretting, przy którym nie ma zmian chemicznych powierzchni, zachodzi bardzo rzadko i występuje jedynie w przypadku kontaktu metali szlachetnych lub też przy wysokiej próżni oraz w atmosferze obojętnych gazów (hel, neon, argon), gdy nie zawierają one wilgoci. Jeżeli występuje kontakt z aktywnie działającym środowiskiem, wtedy powstaje korozja frettingowa (fretting-korozja), w wyniku której zużycie pojawia się wcześniej i jest intensywniejsze niż przy „czystym” frettingu. Korozja frettingowa występuje najczęściej w parach pracujących przy pewnym naprężeniu (np. elementy osadzone na wałach na wcisk, blachy łączone nitami, narażone na drgania itp.). Naprężenia powodują wzrost energii powierzchniowej i zwiększają reaktywność chemiczną powierzchni, a więc podatność na korozję.
Ze względu na małe wzajemne przemieszczanie ciał produkty zużycia frettingowego zbierają się wokół węzła tarcia. Jeżeli mają one dużą twardość, wówczas działają jak ścierniwo, co przyspiesza zużywanie. Produkty zużycia są zazwyczaj tlenkami metali. Mogą to być tlenki usunięte z powierzchni lub też tlenki utworzone w wyniku utleniania cząstek startego metalu. Przy frettingu stali wokół węzła ciernego gromadzi się delikatnie rozdrobniony brązowy proszek, składający się z różnych tlenków żelaza odznaczających się dużą twardością. Intensywność frettingu zależy od rodzaju stykających się materiałów oraz od rodzaju i wartości wymuszeń, którym podlega połączenie.
Zasadniczą rolę odgrywa amplituda drgań, gdyż ona powoduje wzajemne przemieszczanie stykających się ciał. Stwierdzono, że najczęściej amplituda drgań przy frettingu wynosi 0,0025 mm. Bywają jednak przypadki, że osiąga ona wartość 2 mm. Stopień zużycia powierzchni przez fretting rośnie wraz ze wzrostem amplitudy drgań oraz ze wzrostem liczby cykli. Duży wpływ na zużycie ma ponadto wartość naprężeń, przy których pracuje połączenie, oraz agresywność środowiska.
    

8.8. Miary wartości zużycia i odporności na zużycie trybologiczne

Zależnie od kształtu cząstek ścierających i ułożenia ich krawędzi skrawającej do kierunku ruchu, część cząstki skrawa, część rysuje, a część wycina bruzdy w trącym materiale. Objętościowa odporność na zużycie (na jednostkę drogi tarcia) przy przyjęciu stałych wartości wzorcowych ujętych współczynnikami, jest określona następującą zależnością
I = U
L
= c N d x
H y

m
(8.14)

gdzie: U - ubytek objętościowy materiału w m³, L - droga tarcia w m, N - obciążenie jednostkowe normalne w MPa, c - współczynnik proporcjonalności w m²/m, d - średnica cząstek ścierających mierzona prostopadle do kierunku ruchu w m, x = (izsc/iz) stosunek liczby cząstek ścierających do ogólnej liczby cząstek, H - twardość Vickersa, y - współczynnik charakteryzujący względną liczbę cząstek, przenoszących obciążenie.

Odporność na zużycie jest zatem proporcjonalna do obciążenia jednostkowego i odwrotnie proporcjonalna do twardości ścieranego metalu, a ponadto do warunków ścierania.

Mechanizm zużywania ściernego należy interpretować w ten sposób, że cząstka o powierzchni S, przesuwając się po powierzchni ciała stałego, dociśnięta siłą normalną N, odkształca sprężyście i plastycznie tworząc bruzdę o szerokości b i równocześnie spęcza materiał przed swoją czołową powierzchnią. Po przejściu cząstki wymiary bruzdy maleją o wartość odkształceń sprężystych do σ1.
Przyjmując charakter odkształcenia sprężystego analogiczny jak przy wciskaniu kuli, otrzymuje się wzór na odporność na zużycie
I = n d³ ( 1
σ
- 1
σ1
) = k N
E

m
(8.15)

gdzie: n - liczba cząstek przenoszących obciążenie normalne N, d - średnica cząstek w m, k - współczynnik proporcjonalności w m³/m, E - współczynnik sprężystości wzdłużnej (moduł Younga) w MPa.

Wzór Younga na względną odporność na zużycie niektórych metali i ich stopów (materiałem wzorcowym był celuloid) jest następujący
Iwz = a H + b (8.16)

gdzie a, b - współczynniki o stałych wartościach.

Wzory Chruszczowa i Babiczewa na względną odporność na zużycie metali i ich stopów (materiałem wzorcowym był stop cynowo-ołowiowy) jest następujący
Iwz = b H (8.17)

gdzie H - twardość Vickersa.

Chruszczow podał również inną zależność na odporność na zużycie metali w zależności od współczynnika sprężystości wzdłużnej E
Iwz = 0,49•10 -4 E13 13??!!(8.18)

Względną odporność na zużycie stali w stosunku do ferrytu można obliczyć z zależności
Iwz = 1 + 0,027 β (8.19)

gdzie β - względna zawartość objętościowa Fe3C w stali.

Względna odporność na zużycie stali węglowych i stopowych ulepszonych cieplnie w funkcji ich twardości można obliczyć z zależności
Iwz = I0 + b ( H - H0 ) (8.20)

gdzie: I0 - intensywność zużywania stali wyżarzonej. H0 - twardość stali wyżarzonej, H - twardość stali po ulepszeniu cieplnym, b - współczynnik proporcjonalności zależny od składu chemicznego stali.

Jeśli intensywność zużycia warunkują pozostałe procesy trybologiczne to wartość zużycia i odporność na zużycie oblicza się z zależności uwarunkowanych metodami pomiarów.


    

Literatura

Rozdział 8. Zużycie

  1. Костецки Б. И.: Износостойкость деталей машин. Москва: Машгиз. 1950
  2. Семёнов А. П.: Трение и износ в машинах. Вопросы теорий схватывания металлов. Т. I, Москва: Изд. АН СССР 1962
  3. Айндиндер С.Б., Клокова X, Ф.: О механизме возникновения сцепления при холодной сварке металлов. Рига: Изд. АН Латв. ССР 1956 № 10 с. 152-158
  4. Хрущчов М. М.: Трении и износ в машинах. Класификация условии и видов изношивания деталей машин. Вып. VIII. Москва: Изд. АН СССР 1953
  5. Розенберг И. А.: Влияние смазочных масел на надёжность и долговечность машин. Москва: Изд. Машиностроение 1971
  6. Гаркунов Д. Н., Крегелъский И. В.: Об атомарном схвативании материалов при трении. Доклады АН СССР 1957 т. 133 № 2 с. 38-47
  7. Morfin J. S., Cameron A.: Effect of Oil on the Pitting Rollers Journ. Mech. Eng. Sci. 1961 vol. 3 pp. 148-154
  8. Solski P., Ziemba S.: Zużycie elementów maszyn spowodowane tarciem. Warszawa: PWN 1969
  9. Хрущев М. М., Бзбичев М. А.: Исследования изнашивания металлов. Москва: Изд. АН СССР 1960
  10. Solski P.: O istocie połączeń tarciowych. Zesz. Nauk Polit. Warsz. Mechanika nr 15 1965 s. 32-38
  11. Sedrick A. J., Mulhearn T. O.: Mechanics of cutting and rubbing in simulated abrasive processes Wear 1963 vol. 6 pp. 457-462
  12. Mulhearn T. O., Samuels L. E.: The abrasion of metals a model of the processes. Wear 1962 vol. 5 pp. 478-487
  13. Archard J. F., Hirst W.: The wear of metals under unlubricated conditions. Proc. Roy. Soc. 1956 vol. A-236 pp. 397-405
  14. Buttery T. C., Archard J. F.: Grinding and Abrasive Wear Proc. Inst. Mech. Eng. 1971 vol. 188 pp. 43-51
  15. Tao F. F., Appeldoorn J. K.: An Experimental Study of the Wear. Caused Loose Abrasive Particles in Oil. ASLE Trans. 1970 vol. 13 pp. 169-177
  16. Tallian T. E.: On Competing Failure Modes in Rolling Contact. ASLE Trans. 1967 vol. 10 pp. 418-439
  17. Powell D. G., Earles W. E.: Wear of unlubricated Steel Surfaces in Sliding Contact ASLE Trans. 1968 vol. 11 pp. 101-108
  18. Tao F. F.: The Role of Diffusion in Corrosive Wear ASLE Trans. 1968 vol. 11 pp. 121-130


    

Last modified:
21-01-2005

All rights reserved
© Wszystkie prawa zastrzeżone